2.2. Substitution TechniquesIn this section and the next, we examine a sampling of what might be called classical encryption techniques. A study of these techniques enables us to illustrate the basic approaches to symmetric encryption used today and the types of cryptanalytic attacks that must be anticipated. The two basic building blocks of all encryption techniques are substitution and transposition. We examine these in the next two sections. Finally, we discuss a system that combines both substitution and transposition. A substitution technique is one in which the letters of plaintext are replaced by other letters or by numbers or symbols.[1] If the plaintext is viewed as a sequence of bits, then substitution involves replacing plaintext bit patterns with ciphertext bit patterns.
Caesar CipherThe earliest known use of a substitution cipher, and the simplest, was by Julius Caesar. The Caesar cipher involves replacing each letter of the alphabet with the letter standing three places further down the alphabet. For example, plain: meet me after the toga party cipher: PHHW PH DIWHU WKH WRJD SDUWB Note that the alphabet is wrapped around, so that the letter following Z is A. We can define the transformation by listing all possibilities, as follows: plain: a b c d e f g h i j k l m n o p q r s t u v w x y z cipher: D E F G H I J K L M N O P Q R S T U V W X Y Z A B C Let us assign a numerical equivalent to each letter:
Then the algorithm can be expressed as follows. For each plaintext letter p, substitute the ciphertext letter C:[2]
C = E(3, p) = (p + 3) mod 26 A shift may be of any amount, so that the general Caesar algorithm is C = E(k, p) = (p + k) mod 26 where k takes on a value in the range 1 to 25. The decryption algorithm is simply p = D(k, C) = (C k) mod 26 If it is known that a given ciphertext is a Caesar cipher, then a brute-force cryptanalysis is easily performed: Simply try all the 25 possible keys. Figure 2.3 shows the results of applying this strategy to the example ciphertext. In this case, the plaintext leaps out as occupying the third line. Figure 2.3. Brute-Force Cryptanalysis of Caesar Cipher |
P 13.33 | H 5.83 | F 3.33 | B 1.67 | C 0.00 |
Z 11.67 | D 5.00 | W 3.33 | G 1.67 | K 0.00 |
S 8.33 | E 5.00 | Q 2.50 | Y 1.67 | L 0.00 |
U 8.33 | V 4.17 | T 2.50 | I 0.83 | N 0.00 |
O 7.50 | X 4.17 | A 1.67 | J 0.83 | R 0.00 |
M 6.67 |
Comparing this breakdown with Figure 2.5, it seems likely that cipher letters P and Z are the equivalents of plain letters e and t, but it is not certain which is which. The letters S, U, O, M, and H are all of relatively high frequency and probably correspond to plain letters from the set {a, h, i, n, o, r, s}.The letters with the lowest frequencies (namely, A, B, G, Y, I, J) are likely included in the set {b, j, k, q, v, x, z}.
There are a number of ways to proceed at this point. We could make some tentative assignments and start to fill in the plaintext to see if it looks like a reasonable "skeleton" of a message. A more systematic approach is to look for other regularities. For example, certain words may be known to be in the text. Or we could look for repeating sequences of cipher letters and try to deduce their plaintext equivalents.
A powerful tool is to look at the frequency of two-letter combinations, known as digrams. A table similar to Figure 2.5 could be drawn up showing the relative frequency of digrams. The most common such digram is th. In our ciphertext, the most common digram is ZW, which appears three times. So we make the correspondence of Z with t and W with h. Then, by our earlier hypothesis, we can equate P with e. Now notice that the sequence ZWP appears in the ciphertext, and we can translate that sequence as "the." This is the most frequent trigram (three-letter combination) in English, which seems to indicate that we are on the right track.
Next, notice the sequence ZWSZ in the first line. We do not know that these four letters form a complete word, but if they do, it is of the form th_t. If so, S equates with a.
So far, then, we have
UZQSOVUOHXMOPVGPOZPEVSGZWSZOPFPESXUDBMETSXAIZ t a e e te a that e e a a VUEPHZHMDZSHZOWSFPAPPDTSVPQUZWYMXUZUHSX e t ta t ha e ee a e th t a EPYEPOPDZSZUFPOMBZWPFUPZHMDJUDTMOHMQ e e e tat e the t
Only four letters have been identified, but already we have quite a bit of the message. Continued analysis of frequencies plus trial and error should easily yield a solution from this point. The complete plaintext, with spaces added between words, follows:
it was disclosed yesterday that several informal but direct contacts have been made with political representatives of the viet cong in moscow
Monoalphabetic ciphers are easy to break because they reflect the frequency data of the original alphabet. A countermeasure is to provide multiple substitutes, known as homophones, for a single letter. For example, the letter e could be assigned a number of different cipher symbols, such as 16, 74, 35, and 21, with each homophone used in rotation, or randomly. If the number of symbols assigned to each letter is proportional to the relative frequency of that letter, then single-letter frequency information is completely obliterated. The great mathematician Carl Friedrich Gauss believed that he had devised an unbreakable cipher using homophones. However, even with homophones, each element of plaintext affects only one element of ciphertext, and multiple-letter patterns (e.g., digram frequencies) still survive in the ciphertext, making cryptanalysis relatively straightforward.
Two principal methods are used in substitution ciphers to lessen the extent to which the structure of the plaintext survives in the ciphertext: One approach is to encrypt multiple letters of plaintext, and the other is to use multiple cipher alphabets. We briefly examine each.
The best-known multiple-letter encryption cipher is the Playfair, which treats digrams in the plaintext as single units and translates these units into ciphertext digrams.[3]
[3] This cipher was actually invented by British scientist Sir Charles Wheatstone in 1854, but it bears the name of his friend Baron Playfair of St. Andrews, who championed the cipher at the British foreign office.
The Playfair algorithm is based on the use of a 5 x 5 matrix of letters constructed using a keyword. Here is an example, solved by Lord Peter Wimsey in Dorothy Sayers's Have His Carcase:[4]
[4] The book provides an absorbing account of a probable-word attack.
M | O | N | A | R |
C | H | Y | B | D |
E | F | G | I/J | K |
L | P | Q | S | T |
U | V | W | X | Z |
In this case, the keyword is monarchy. The matrix is constructed by filling in the letters of the keyword (minus duplicates) from left to right and from top to bottom, and then filling in the remainder of the matrix with the remaining letters in alphabetic order. The letters I and J count as one letter. Plaintext is encrypted two letters at a time, according to the following rules:
1. | Repeating plaintext letters that are in the same pair are separated with a filler letter, such as x, so that balloon would be treated as ba lx lo on. |
2. | Two plaintext letters that fall in the same row of the matrix are each replaced by the letter to the right, with the first element of the row circularly following the last. For example, ar is encrypted as RM. |
3. | Two plaintext letters that fall in the same column are each replaced by the letter beneath, with the top element of the column circularly following the last. For example, mu is encrypted as CM. |
4. | Otherwise, each plaintext letter in a pair is replaced by the letter that lies in its own row and the column occupied by the other plaintext letter. Thus, hs becomes BP and ea becomes IM (or JM, as the encipherer wishes). |
The Playfair cipher is a great advance over simple monoalphabetic ciphers. For one thing, whereas there are only 26 letters, there are 26 x 26 = 676 digrams, so that identification of individual digrams is more difficult. Furthermore, the relative frequencies of individual letters exhibit a much greater range than that of digrams, making frequency analysis much more difficult. For these reasons, the Playfair cipher was for a long time considered unbreakable. It was used as the standard field system by the British Army in World War I and still enjoyed considerable use by the U.S. Army and other Allied forces during World War II.
Despite this level of confidence in its security, the Playfair cipher is relatively easy to break because it still leaves much of the structure of the plaintext language intact. A few hundred letters of ciphertext are generally sufficient.
One way of revealing the effectiveness of the Playfair and other ciphers is shown in Figure 2.6, based on [SIMM93]. The line labeled plaintext plots the frequency distribution of the more than 70,000 alphabetic characters in the Encyclopaedia Brittanica article on cryptology.[5] This is also the frequency distribution of any monoalphabetic substitution cipher. The plot was developed in the following way: The number of occurrences of each letter in the text was counted and divided by the number of occurrences of the letter e (the most frequently used letter). As a result, e has a relative frequency of 1, t of about 0.76, and so on. The points on the horizontal axis correspond to the letters in order of decreasing frequency.
[5] I am indebted to Gustavus Simmons for providing the plots and explaining their method of construction.
Figure 2.6 also shows the frequency distribution that results when the text is encrypted using the Playfair cipher. To normalize the plot, the number of occurrences of each letter in the ciphertext was again divided by the number of occurrences of e in the plaintext. The resulting plot therefore shows the extent to which the frequency distribution of letters, which makes it trivial to solve substitution ciphers, is masked by encryption. If the frequency distribution information were totally concealed in the encryption process, the ciphertext plot of frequencies would be flat, and cryptanalysis using ciphertext only would be effectively impossible. As the figure shows, the Playfair cipher has a flatter distribution than does plaintext, but nevertheless it reveals plenty of structure for a cryptanalyst to work with.
[6] This cipher is somewhat more difficult to understand than the others in this chapter, but it illustrates an important point about cryptanalysis that will be useful later on. This subsection can be skipped on a first reading.
Another interesting multiletter cipher is the Hill cipher, developed by the mathematician Lester Hill in 1929. The encryption algorithm takes m successive plaintext letters and substitutes for them m ciphertext letters. The substitution is determined by m linear equations in which each character is assigned a numerical value (a = 0, b = 1 ... z = 25). For m = 3, the system can be described as follows:
c1 = (k11P1 + k12P2 + k13P3) mod 26
c2 = (k21P1 + k22P2 + k23P3) mod 26
c3 = (k31P1 + k32P2 + k33P3) mod 26
This can be expressed in term of column vectors and matrices:

or
C = KP mod 26
where C and P are column vectors of length 3, representing the plaintext and ciphertext, and K is a 3 x 3 matrix, representing the encryption key. Operations are performed mod 26.
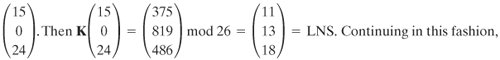
For example, consider the plaintext "paymoremoney" and use the encryption key

The first three letters of the plaintext are represented by the vector

the ciphertext for the entire plaintext is LNSHDLEWMTRW.
Decryption requires using the inverse of the matrix K. The inverse K1 of a matrix K is defined by the equation KK1 = K1K = I, where I is the matrix that is all zeros except for ones along the main diagonal from upper left to lower right. The inverse of a matrix does not always exist, but when it does, it satisfies the preceding equation. In this case, the inverse is:

This is demonstrated as follows:

It is easily seen that if the matrix K1 is applied to the ciphertext, then the plaintext is recovered. To explain how the inverse of a matrix is determined, we make an exceedingly brief excursion into linear algebra.[7] For any square matrix (m x m) the determinant equals the sum of all the products that can be formed by taking exactly one element from each row and exactly one element from each column, with certain of the product terms preceded by a minus sign. For a 2 x 2 matrix
[7] The basic concepts of linear algebra are summarized in the Math Refresher document at the Computer Science Student Resource site at WilliamStallings.com/StudentSupport.html. The interested reader may consult any text on linear algebra for greater detail.
![]()
the determinant is k11k22 k12k21. For a 3 x 3 matrix, the value of the determinant is k11k22k33 + k21k32k13 + k31k12k23 k31k22k13 k21k12k33 k11k32k23. If a square matrix A has a nonzero determinant, then the inverse of the matrix is computed as [A1]ij = (1)i+j(Dij)/ded(A), where (Dij) is the subdeterminant formed by deleting the ith row and the jth column of A and det(A) is the determinant of A. For our purposes, all arithmetic is done mod 26.
In general terms, the Hill system can be expressed as follows:
C = E(K, P) = KP mod 26
P = D(K, P) = K1C mod 26 = K1KP = P
As with Playfair, the strength of the Hill cipher is that it completely hides single-letter frequencies. Indeed, with Hill, the use of a larger matrix hides more frequency information. Thus a 3 x 3 Hill cipher hides not only single-letter but also two-letter frequency information.
Although the Hill cipher is strong against a ciphertext-only attack, it is easily broken with a known plaintext attack. For an m x m Hill cipher, suppose we have m plaintext-ciphertext pairs, each of length m. We label the pairs

unknown key matrix K. Now define two m x m matrices X = (Pij) and Y = (Cij). Then we can form the matrix equation Y = KX. If X has an inverse, then we can determine K = YX1. If X is not invertible, then a new version of X can be formed with additional plaintext-ciphertext pairs until an invertible X is obtained.
We use an example based on one in [STIN02]. Suppose that the plaintext "friday" is encrypted using a 2 x 2 Hill cipher to yield the ciphertext PQCFKU. Thus, we know that
![]()
Using the first two plaintext-ciphertext pairs, we have
![]()
The inverse of X can be computed:
![]()
so
![]()
This result is verified by testing the remaining plaintext-ciphertext pair.
Another way to improve on the simple monoalphabetic technique is to use different monoalphabetic substitutions as one proceeds through the plaintext message. The general name for this approach is polyalphabetic substitution cipher. All these techniques have the following features in common:
A set of related monoalphabetic substitution rules is used.
A key determines which particular rule is chosen for a given transformation.
The best known, and one of the simplest, such algorithm is referred to as the Vigenère cipher. In this scheme, the set of related monoalphabetic substitution rules consists of the 26 Caesar ciphers, with shifts of 0 through 25. Each cipher is denoted by a key letter, which is the ciphertext letter that substitutes for the plaintext letter a. Thus, a Caesar cipher with a shift of 3 is denoted by the key value d.
To aid in understanding the scheme and to aid in its use, a matrix known as the Vigenère tableau is constructed (Table 2.3). Each of the 26 ciphers is laid out horizontally, with the key letter for each cipher to its left. A normal alphabet for the plaintext runs across the top. The process of encryption is simple: Given a key letter x and a plaintext letter y, the ciphertext letter is at the intersection of the row labeled x and the column labeled y; in this case the ciphertext is V.
To encrypt a message, a key is needed that is as long as the message. Usually, the key is a repeating keyword. For example, if the keyword is deceptive, the message "we are discovered save yourself" is encrypted as follows:
key: deceptivedeceptivedeceptive plaintext: wearediscoveredsaveyourself ciphertext: ZICVTWQNGRZGVTWAVZHCQYGLMGJ
Decryption is equally simple. The key letter again identifies the row. The position of the ciphertext letter in that row determines the column, and the plaintext letter is at the top of that column.
The strength of this cipher is that there are multiple ciphertext letters for each plaintext letter, one for each unique letter of the keyword. Thus, the letter frequency information is obscured. However, not all knowledge of the plaintext structure is lost. For example, Figure 2.6 shows the frequency distribution for a Vigenère cipher with a keyword of length 9. An improvement is achieved over the Playfair cipher, but considerable frequency information remains.
It is instructive to sketch a method of breaking this cipher, because the method reveals some of the mathematical principles that apply in cryptanalysis.
First, suppose that the opponent believes that the ciphertext was encrypted using either monoalphabetic substitution or a Vigenère cipher. A simple test can be made to make a determination. If a monoalphabetic substitution is used, then the statistical properties of the ciphertext should be the same as that of the language of the plaintext. Thus, referring to Figure 2.5, there should be one cipher letter with a relative frequency of occurrence of about 12.7%, one with about 9.06%, and so on. If only a single message is available for analysis, we would not expect an exact match of this small sample with the statistical profile of the plaintext language. Nevertheless, if the correspondence is close, we can assume a monoalphabetic substitution.
If, on the other hand, a Vigenère cipher is suspected, then progress depends on determining the length of the keyword, as will be seen in a moment. For now, let us concentrate on how the keyword length can be determined. The important insight that leads to a solution is the following: If two identical sequences of plaintext letters occur at a distance that is an integer multiple of the keyword length, they will generate identical ciphertext sequences. In the foregoing example, two instances of the sequence "red" are separated by nine character positions. Consequently, in both cases, r is encrypted using key letter e, e is encrypted using key letter p, and d is encrypted using key letter t. Thus, in both cases the ciphertext sequence is VTW.
An analyst looking at only the ciphertext would detect the repeated sequences VTW at a displacement of 9 and make the assumption that the keyword is either three or nine letters in length. The appearance of VTW twice could be by chance and not reflect identical plaintext letters encrypted with identical key letters. However, if the message is long enough, there will be a number of such repeated ciphertext sequences. By looking for common factors in the displacements of the various sequences, the analyst should be able to make a good guess of the keyword length.
Solution of the cipher now depends on an important insight. If the keyword length is N, then the cipher, in effect, consists of N monoalphabetic substitution ciphers. For example, with the keyword DECEPTIVE, the letters in positions 1, 10, 19, and so on are all encrypted with the same monoalphabetic cipher. Thus, we can use the known frequency characteristics of the plaintext language to attack each of the monoalphabetic ciphers separately.
The periodic nature of the keyword can be eliminated by using a nonrepeating keyword that is as long as the message itself. Vigenère proposed what is referred to as an autokey system, in which a keyword is concatenated with the plaintext itself to provide a running key. For our example,
key: deceptivewearediscoveredsav plaintext: wearediscoveredsaveyourself ciphertext: ZICVTWQNGKZEIIGASXSTSLVVWLA Even this scheme is vulnerable to cryptanalysis. Because the key and the plaintext share the same frequency distribution of letters, a statistical technique can be applied. For example, e enciphered by e, by Figure 2.5, can be expected to occur with a frequency of (0.127)2
0.016, whereas t enciphered by [8]
[8] Although the techniques for breaking a Vigenère cipher are by no means complex, a 1917 issue of Scientific American characterized this system as "impossible of translation." This is a point worth remembering when similar claims are made for modern algorithms.
The ultimate defense against such a cryptanalysis is to choose a keyword that is as long as the plaintext and has no statistical relationship to it. Such a system was introduced by an AT&T engineer named Gilbert Vernam in 1918. His system works on binary data rather than letters. The system can be expressed succinctly as follows:
ci = pi
where
pi | = ith binary digit of plaintext |
ki | = ith binary digit of key |
ci | = ith binary digit of ciphertext |
| = exclusive-or (XOR) operation |
Thus, the ciphertext is generated by performing the bitwise XOR of the plaintext and the key. Because of the properties of the XOR, decryption simply involves the same bitwise operation:
pi = ci
The essence of this technique is the means of construction of the key. Vernam proposed the use of a running loop of tape that eventually repeated the key, so that in fact the system worked with a very long but repeating keyword. Although such a scheme, with a long key, presents formidable cryptanalytic difficulties, it can be broken with sufficient ciphertext, the use of known or probable plaintext sequences, or both.
One-Time Pad
An Army Signal Corp officer, Joseph Mauborgne, proposed an improvement to the Vernam cipher that yields the ultimate in security. Mauborgne suggested using a random key that is as long as the message, so that the key need not be repeated. In addition, the key is to be used to encrypt and decrypt a single message, and then is discarded. Each new message requires a new key of the same length as the new message. Such a scheme, known as a one-time pad, is unbreakable. It produces random output that bears no statistical relationship to the plaintext. Because the ciphertext contains no information whatsoever about the plaintext, there is simply no way to break the code.
An example should illustrate our point. Suppose that we are using a Vigenère scheme with 27 characters in which the twenty-seventh character is the space character, but with a one-time key that is as long as the message. Thus, the tableau of Table 2.3 must be expanded to 27 x 27. Consider the ciphertext
ANKYODKYUREPFJBYOJDSPLREYIUNOFDOIUERFPLUYTS
[Page 49] We now show two different decryptions using two different keys:
ciphertext: ANKYODKYUREPFJBYOJDSPLREYIUNOFDOIUERFPLUYTS key: pxlmvmsydofuyrvzwc tnlebnecvgdupahfzzlmnyih plaintext: mr mustard with the candlestick in the hall ciphertext: ANKYODKYUREPFJBYOJDSPLREYIUNOFDOIUERFPLUYTS key: mfugpmiydgaxgoufhklllmhsqdqogtewbqfgyovuhwt plaintext: miss scarlet with the knife in the library
Suppose that a cryptanalyst had managed to find these two keys. Two plausible plaintexts are produced. How is the cryptanalyst to decide which is the correct decryption (i.e., which is the correct key)? If the actual key were produced in a truly random fashion, then the cryptanalyst cannot say that one of these two keys is more likely than the other. Thus, there is no way to decide which key is correct and therefore which plaintext is correct.
In fact, given any plaintext of equal length to the ciphertext, there is a key that produces that plaintext. Therefore, if you did an exhaustive search of all possible keys, you would end up with many legible plaintexts, with no way of knowing which was the intended plaintext. Therefore, the code is unbreakable.
The security of the one-time pad is entirely due to the randomness of the key. If the stream of characters that constitute the key is truly random, then the stream of characters that constitute the ciphertext will be truly random. Thus, there are no patterns or regularities that a cryptanalyst can use to attack the ciphertext.
In theory, we need look no further for a cipher. The one-time pad offers complete security but, in practice, has two fundamental difficulties:
There is the practical problem of making large quantities of random keys. Any heavily used system might require millions of random characters on a regular basis. Supplying truly random characters in this volume is a significant task.
Even more daunting is the problem of key distribution and protection. For every message to be sent, a key of equal length is needed by both sender and receiver. Thus, a mammoth key distribution problem exists.
Because of these difficulties, the one-time pad is of limited utility, and is useful primarily for low-bandwidth channels requiring very high security.