| 1. | The project charter: 
| A. | Is a good thing to have to enter restricted areas | 
| B. | Tells the newspapers when the project will end | 
| C. | Authorizes equipment acquisition | 
| D. | Provides a high-level definition of the effort and its stakeholders | 
| E. | Announces who the project engineer is |
|
| 2. | Scorecard modeling, cost benefit analysis, payback periods, and internal rate of return are examples of: 
| A. | Project selection methods | 
| B. | Enterprise benefits measurement methods when selecting a project | 
| C. | Ways to ensure stakeholder commitment | 
| D. | Integral parts of the statement of work |
|
| 3. | Project scope: 
| A. | Defines all the equipment that will be used in the project | 
| B. | Is a document that identifies the stakeholder responsibilities | 
| C. | Is part of the project charter | 
| D. | Defines at a high level the project execution framework and its deliverables |
|
| 4. | Project success can be achieved only if: 
| A. | The project manager is an expert in managing resources. | 
| B. | The project manager is part of the executive management team. | 
| C. | There is a clear link between the project deliverables and the business strategy. | 
| D. | The project sponsor leads the initiatives. | 
| E. | None of the above. |
|
| 5. | The project management plan: 
| A. | Are the steps needed to complete a project task | 
| B. | Is prepared at the beginning and fixed throughout the execution of the project | 
| C. | Not needed until resources have been assigned | 
| D. | Is an outline that identifies all the steps and processes that will be used after a project is initiated |
|
| 6. | The work breakdown structure: 
| A. | Is a list of all the tasks needed to complete a meeting | 
| B. | Is needed as part of the project charter | 
| C. | Is set and does not change throughout the project | 
| D. | Is used to break down the project into manageable pieces |
|
| 7. | The project baseline: 
| A. | Encompass all the initial estimates for tasks and resource utilization | 
| B. | Is only important in the project initiation phase | 
| C. | Is the result of the original plans plus the approved changes | 
| D. | Is not needed to successfully manage a project |
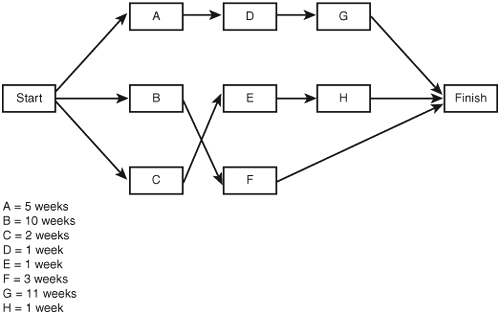
For questions 8 10, use the following network diagram:  |
| 8. | What would be the early start for activity H?
|
| 9. | What is the critical path? 
| A. | Start A D G Finish | 
| B. | Start B F Finish | 
| C. | Start C E H Finish |
|
| 10. | Which project schedule represents the tasks outlined in the network diagram?
|
| 11. | Which of the following is not a good input to project cost estimation? 
| A. | Work breakdown structures | 
| B. | Time estimates | 
| C. | Earn value analysis | 
| D. | Schedules |
|
| 12. | Which one of the following four cost budgeting tools uses current and historical project information to calculate project cost estimates? 
| A. | Cost cancellation techniques | 
| B. | Reserves analysis | 
| C. | Parametric estimating | 
| D. | Funding limit reconciliation |
|
| 13. | Within the PMI realm, who is ultimately responsible for the project quality? 
| A. | Project team | 
| B. | Project manager | 
| C. | Quality assurance manager | 
| D. | Validation engineer |
|
| 14. | The process group in which detailed resource assignments and responsibilities are formalized is called the: 
| A. | Project management plan | 
| B. | Quality assurance plan | 
| C. | Project charter | 
| D. | Human resources management plan |
|
| 15. | How many communication channels will be required in a project in which 30 individual are participating?
|
| 16. | Who has the ultimate responsibility for making sure that a message in the project team is understood? 
| A. | The project sponsor | 
| B. | The sender | 
| C. | The project coordinator | 
| D. | All |
|
| 17. | The intent of the risk management process group is to: 
| A. | Underwrite all the risks affecting the company | 
| B. | Announce project risks | 
| C. | Address and implement how risk will be identified and mitigated | 
| D. | Increase the probability of positive outcomes in the project |
|
| 18. | Which one of these is not a typical way to deal with negative threats? 
| A. | Avoid | 
| B. | Transfer | 
| C. | Mitigate | 
| D. | Share |
|
| 19. | Which of the following is a recognized contract type within the PMI context? 
| A. | Fixed-price or lump-sum contract | 
| B. | Cost-reimbursable contract | 
| C. | Time and material | 
| D. | All of the above |
|
| 20. | Which one of these is not used when preparing a statement of work? 
| A. | Project scope statement | 
| B. | Work breakdown structure | 
| C. | Risk management plan | 
| D. | Work breakdown dictionary |
|
| 21. | When the project manager receives a project change request, he should: 
| A. | Send it to the change control board for approval | 
| B. | Discuss it with the project team and leave it for phase 2 | 
| C. | Evaluate its risk and potential impact before taking any action | 
| D. | None of the above |
|
| 22. | One method to determine how well a project is executing at a specific point in time is by using: 
| A. | Cost variance analysis | 
| B. | Historical data | 
| C. | Expert judgment | 
| D. | The cost performance index (CPI) |
|
| 23. | Quality assurance application in a project is the: 
| A. | Definition of organizational quality practices | 
| B. | Ensuring of six sigma compliance | 
| C. | Application of Pareto charts to project sample points | 
| D. | Application of organizational quality metrics to the project |
|
| 24. | You and your project team determine that external resources are needed. Which method would be best to secure these resources? 
| A. | Acquisition | 
| B. | Pre-assignment | 
| C. | Negotiation | 
| D. | Contract management | 
| E. | none of the above |
|
| 25. | As a project manager, you need to know how to manage conflict. Which one of the following is not a way to successfully manage conflict? 
| A. | Problem-solving | 
| B. | Compromising | 
| C. | Formal | 
| D. | Withdrawal |
|
| 26. | How much time should a project manager spend in communication activities? 
| A. | 10% 25% | 
| B. | 36% 50% | 
| C. | 51% 69% | 
| D. | 70% 90% |
|
| 27. | Which of the following is not a basic element for successful communication? 
| A. | Sender | 
| B. | Message | 
| C. | Analog line | 
| D. | Receiver |
|
| 28. | What is the name of the process that uses the procurement documents and the selection criteria as primary inputs? 
| A. | Procurement plan | 
| B. | Request seller responses | 
| C. | Contract management | 
| D. | Sales advisory plan |
|
| 29. | An approved corrective action is: 
| A. | A response to a management request | 
| B. | A quality management plan | 
| C. | A course correction to bring the project in line with the project plan | 
| D. | None of the above | 
| E. | Issued by executive management |
|
| 30. | Ishikawa diagrams, see the figure below, are used for: 
| A. | The cost management plan during the project execution | 
| B. | Brainstorming | 
| C. | Finding the cause and effect in the project quality assurance process | 
| D. | All of the above | 
| E. | None of the above |
 |
| 31. | The Pareto chart, Ishikawa diagrams, histograms, and six sigma are techniques used for implementing ______ in the project: 
| A. | Quality processes | 
| B. | Quality metrics | 
| C. | Quality control | 
| D. | All of the above |
For questions 32 38, use the following problem: You are the new project manager tasked with taking over for a project manager who left 6 weeks ago. Some of the numbers that you find in your initial research are as follows: Estimated project cost: $675,000 Project timeline: 24 weeks This is week 16 and accumulated costs are $300,000. Additionally, only 25% of the work has been completed. |
| 32. | What is the budget at completion? 
| A. | $300,000 | 
| B. | $168,750 | 
| C. | $675,000 | 
| D. | There is not enough information. |
|
| 33. | What is the planned value? 
| A. | $300,000 | 
| B. | $168,750 | 
| C. | $389,423 | 
| D. | $452,250 | 
| E. | There is not enough information. |
|
| 34. | What is the earned value? 
| A. | $300,000 | 
| B. | $168,750 | 
| C. | $389,453 | 
| D. | $483,103 |
|
| 35. | What is the cost variance? 
| A. | $250,000 | 
| B. | $483,103 | 
| C. | $289,750 | 
| D. | $131,250 |
|
| 36. | What is the schedule variance? 
| A. | $157,351 | 
| B. | $289,750 | 
| C. | $283,500 | 
| D. | There is not enough information. |
|
| 37. | What will be the estimated at-completion cost? 
| A. | $1,200,000 | 
| B. | $675,000 | 
| C. | $3,000,000 | 
| D. | $1,050,000 |
|
| 38. | Because the CPI is .5625, what do we know about this project? 
| A. | It can be finished on time if we crash the schedule. | 
| B. | We will need an extra 6 weeks to complete it. | 
| C. | The project is at budget risk. | 
| D. | None of the above. |
|
| 39. | The project management triple constraint is composed of all these except: 
| A. | Scope | 
| B. | Quality | 
| C. | Time | 
| D. | Cost |
|
| 40. | Maslow's hierarchy of needs talks about how people need to satisfy various personal needs. What is the correct sequence for those needs? 
| A. | Safety, love, esteem and self-actualization, physiological | 
| B. | Love, physiological, safety, esteem and self-actualization | 
| C. | Esteem, physiological, safety, love, and self-actualization | 
| D. | Self-actualization, physiological, safety, love and esteem | 
| E. | Physiological, safety, love, esteem and self-actualization |
|
| 41. | Which leadership style would be most common in a car wash? 
| A. | MacGregor's Theory Y | 
| B. | MacGregor's Theory X | 
| C. | Maslow's hierarchy of needs | 
| D. | Ouchi's Theory Z |
|
| 42. | What would be the result of imposing judgment on a project team? The project manager is ______ his recommendations. 
| A. | Smoothing | 
| B. | Formalizing | 
| C. | Compromising | 
| D. | Forcing | 
| E. | None of the above |
|
| 43. | S-curves, histograms, and earn value analysis are examples of: 
| A. | Project justification | 
| B. | Capital acquisition requests | 
| C. | Performance reporting tools | 
| D. | None of the above |
|
| 44. | ______ and ______ are two procedures used to perform all the closure activities in a project or a project phase. 
| A. | Management, stakeholder | 
| B. | Project team, stakeholder | 
| C. | Administrative, contract closure | 
| D. | Management, contract closure |
|
| 45. | You work for an organization that has no rules with regard to vendor kickbacks or special gifts. A vendor approaches you with a trip to Paris, provided you help him get the contract with your organization. What would be the most prudent thing to do? 
| A. | Accept the offer and help the vendor get the contract. | 
| B. | Ask the vendor for an additional trip for your boss. | 
| C. | Decline the offer and advise the vendor on the standard bidding process. | 
| D. | Seek legal counsel before accepting the trip. |
|
| 46. | You are offered a job as project manager for a fixed cost project. At the same time, you are approached by another client to work on her project on a time and material basis at a higher hourly rate. What should you do? 
| A. | Tell the new client that you need some time to consider all your options before giving her an answer. | 
| B. | Leave your current customer and start on the other project as soon as possible. | 
| C. | Discuss the matter with your client and ask for more money. | 
| D. | Try to squeeze in both projects without notifying anyone. |
|
| 47. | As a senior leader in the project management field, you receive a voice mail from one of your competitor's junior project managers asking for help in the project management discipline. What is the most appropriate course of action? 
| A. | Tell the other guy to stop complaining and get a couple of project management books. | 
| B. | Decide that it is not worth the risk and ignore the call. | 
| C. | Start working with him after hours. | 
| D. | Talk to your supervisor and appraise her of the situation before initiating contact. |
|
| 48. | You are assigned to lead a corporate project with a lot of diversity and several countries participating. What is your best course of action when it comes to giving assignments and setting up the schedule? 
| A. | Try to standardize all activities based on the corporate calendar. | 
| B. | Tell management that you need to implement a PMO at corporate in order to have everyone local. | 
| C. | Learn about communication styles and local holidays and plan for process execution across time zones. | 
| D. | Use external consultants willing to work locally. |
|
| 49. | You are in charge of a project that is going to miss the milestones that were set at the enterprise level by 2 weeks. What do you do? 
| A. | Advise management of the revised project plan and timeline. | 
| B. | Wait and see if they notice when you do not give an update on the item. | 
| C. | Crash the schedule to make the deadline. | 
| D. | Do nothing. |
|
| 50. | A good project manager tends to ______ above all else when it comes to active communications. 
| A. | Write reports | 
| B. | Cold-call people | 
| C. | Listen | 
| D. | Help |
|