C.4. Sums of Halves and Doubles

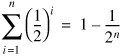
In the next formula, each term is half as large as the previous term.

Even when we don't know the exact number of terms, we can still say:

It may be somewhat surprising that the sum is less than 1 no matter how many terms there are. Figure C-3 shows why this is true.

Figure C-3. When the terms of a sum of halves are rearranged, they don't quite fill up a 2 x 1/2 rectangle. The missing piece is precisely the size of the last term: 1/2n.

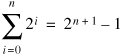
It is sometimes more convenient to write a sum in which each term is twice (rather than half) the previous term.


C 5 Upper Limit on Sum of a Function

Part I: Object-Oriented Programming

Encapsulation

Polymorphism

Inheritance

Part II: Linear Structures

Stacks and Queues

Array-Based Structures

Linked Structures

Part III: Algorithms

Analysis of Algorithms

Searching and Sorting

Recursion

Part IV: Trees and Sets

Trees

Sets

Part V: Advanced Topics

Advanced Linear Structures

Strings

Advanced Trees

Graphs

Memory Management

Out to the Disk

Part VI: Appendices

A. Review of Java

B. Unified Modeling Language

C. Summation Formulae

D. Further Reading

Index



Data Structures and Algorithms in Java
Data Structures and Algorithms in Java
ISBN: 0131469142
EAN: 2147483647
Year: 2004
Pages: 216
Authors: Peter Drake

Flylib.com © 2008-2020.
If you may any questions please contact us: flylib@qtcs.net