3.1. Block Cipher PrinciplesMost symmetric block encryption algorithms in current use are based on a structure referred to as a Feistel block cipher [FEIS73]. For that reason, it is important to examine the design principles of the Feistel cipher. We begin with a comparison of stream ciphers and block ciphers. Then we discuss the motivation for the Feistel block cipher structure. Finally, we discuss some of its implications. Stream Ciphers and Block CiphersA stream cipher is one that encrypts a digital data stream one bit or one byte at a time. Examples of classical stream ciphers are the autokeyed Vigenère cipher and the Vernam cipher. A block cipher is one in which a block of plaintext is treated as a whole and used to produce a ciphertext block of equal length. Typically, a block size of 64 or 128 bits is used. Using some of the modes of operation explained in Chapter 6, a block cipher can be used to achieve the same effect as a stream cipher. Far more effort has gone into analyzing block ciphers. In general, they seem applicable to a broader range of applications than stream ciphers. The vast majority of network-based symmetric cryptographic applications make use of block ciphers. Accordingly, the concern in this chapter, and in our discussions throughout the book of symmetric encryption, will focus on block ciphers. Motivation for the Feistel Cipher StructureA block cipher operates on a plaintext block of n bits to produce a ciphertext block of n bits. There are 2n possible different plaintext blocks and, for the encryption to be reversible (i.e., for decryption to be possible), each must produce a unique ciphertext block. Such a transformation is called reversible, or nonsingular. The following examples illustrate nonsingular and singular transformation for n = 2.
In the latter case, a ciphertext of 01 could have been produced by one of two plaintext blocks. So if we limit ourselves to reversible mappings, the number of different transformations is 2n!. Figure 3.1 illustrates the logic of a general substitution cipher for n = 4. A 4-bit input produces one of 16 possible input states, which is mapped by the substitution cipher into a unique one of 16 possible output states, each of which is represented by 4 ciphertext bits. The encryption and decryption mappings can be defined by a tabulation, as shown in Table 3.1. This is the most general form of block cipher and can be used to define any reversible mapping between plaintext and ciphertext. Feistel refers to this as the ideal block cipher, because it allows for the maximum number of possible encryption mappings from the plaintext block [FEIS75]. Figure 3.1. General n-bit-n-bit Block Substitution (shown with n = 4) | ||||||||||||||||||||||||||||||||||||||||||||||||||||||||||||||||||||||||||||||||||||||||||||||||||
Plaintext | Ciphertext |
|---|---|
0000 | 1110 |
0001 | 0100 |
0010 | 1101 |
0011 | 0001 |
0100 | 0010 |
0101 | 1111 |
0110 | 1011 |
0111 | 1000 |
1000 | 0011 |
1001 | 1010 |
1010 | 0110 |
1011 | 1100 |
1100 | 0101 |
1101 | 1001 |
1110 | 0000 |
1111 | 0111 |
0000 | 1110 |
0001 | 0011 |
0010 | 0100 |
0011 | 1000 |
0100 | 0001 |
0101 | 1100 |
0110 | 1010 |
0111 | 1111 |
1000 | 0111 |
1001 | 1101 |
1010 | 1001 |
1011 | 0110 |
1100 | 1011 |
1101 | 0010 |
1110 | 0000 |
1111 | 0101 |
But there is a practical problem with the ideal block cipher. If a small block size, such as n = 4, is used, then the system is equivalent to a classical substitution cipher. Such systems, as we have seen, are vulnerable to a statistical analysis of the plaintext. This weakness is not inherent in the use of a substitution cipher but rather results from the use of a small block size. If n is sufficiently large and an arbitrary reversible substitution between plaintext and ciphertext is allowed, then the statistical characteristics of the source plaintext are masked to such an extent that this type of cryptanalysis is infeasible.
An arbitrary reversible substitution cipher (the ideal block cipher) for a large block size is not practical, however, from an implementation and performance point of view. For such a transformation, the mapping itself constitutes the key. Consider again Table 3.1, which defines one particular reversible mapping from plaintext to ciphertext for n = 4. The mapping can be defined by the entries in the second column, which show the value of the ciphertext for each plaintext block. This, in essence, is the key that determines the specific mapping from among all possible mappings. In this case, using this straightforward method of defining the key, the required key length is (4 bits) x (16 rows) = 64 bits. In general, for an n-bit ideal block cipher, the length of the key defined in this fashion is n x 2n bits. For a 64-bit block, which is a desirable length to thwart statistical attacks, the required key length is 64 x 264 = 270
1021bits.
In considering these difficulties, Feistel points out that what is needed is an approximation to the ideal block cipher system for large n, built up out of components that are easily realizable [FEIS75]. But before turning to Feistel's approach, let us make one other observation. We could use the general block substitution cipher but, to make its implementation tractable, confine ourselves to a subset of the possible reversible mappings. For example, suppose we define the mapping in terms of a set of linear equations. In the case of n = 4, we have
y1 | = k11x1 + k12x2 + k13x3 + k14x4 |
y2 | = k21x1 + k22x2 + k23x3 + k24x4 |
y3 | = k31x1 + k32x2 + k33x3 + k34x4 |
y4 | = k41x1 + k42x2 + k43x3 + k44x4 |
where the xi are the four binary digits of the plaintext block, the yi are the four binary digits of the ciphertext block, the kij are the binary coefficients, and arithmetic is mod 2. The key size is just n2, in this case 16 bits. The danger with this kind of formulation is that it may be vulnerable to cryptanalysis by an attacker that is aware of the structure of the algorithm. In this example, what we have is essentially the Hill cipher discussed in Chapter 2, applied to binary data rather than characters. As we saw in Chapter 2, a simple linear system such as this is quite vulnerable.
Feistel proposed [FEIS73] that we can approximate the ideal block cipher by utilizing the concept of a product cipher, which is the execution of two or more simple ciphers in sequence in such a way that the final result or product is cryptographically stronger than any of the component ciphers. The essence of the approach is to develop a block cipher with a key length of k bits and a block length of n bits, allowing a total of 2k possible transformations, rather than the 2n! transformations available with the ideal block cipher.
In particular, Feistel proposed the use of a cipher that alternates substitutions and permutations. In fact, this is a practical application of a proposal by Claude Shannon to develop a product cipher that alternates confusion and diffusion functions [SHAN49]. We look next at these concepts of diffusion and confusion and then present the Feistel cipher. But first, it is worth commenting on this remarkable fact: The Feistel cipher structure, which dates back over a quarter century and which, in turn, is based on Shannon's proposal of 1945, is the structure used by many significant symmetric block ciphers currently in use.
The terms diffusion and confusion were introduced by Claude Shannon to capture the two basic building blocks for any cryptographic system [SHAN49].[2] Shannon's concern was to thwart cryptanalysis based on statistical analysis. The reasoning is as follows. Assume the attacker has some knowledge of the statistical characteristics of the plaintext. For example, in a human-readable message in some language, the frequency distribution of the various letters may be known. Or there may be words or phrases likely to appear in the message (probable words). If these statistics are in any way reflected in the ciphertext, the cryptanalyst may be able to deduce the encryption key, or part of the key, or at least a set of keys likely to contain the exact key. In what Shannon refers to as a strongly ideal cipher, all statistics of the ciphertext are independent of the particular key used. The arbitrary substitution cipher that we discussed previously (Figure 3.1) is such a cipher, but as we have seen, is impractical.
[2] Shannon's 1949 paper appeared originally as a classified report in 1945. Shannon enjoys an amazing and unique position in the history of computer and information science. He not only developed the seminal ideas of modern cryptography but is also responsible for inventing the discipline of information theory. In addition, he founded another discipline, the application of Boolean algebra to the study of digital circuits; this last he managed to toss off as a master's thesis.
Other than recourse to ideal systems, Shannon suggests two methods for frustrating statistical cryptanalysis: diffusion and confusion. In diffusion, the statistical structure of the plaintext is dissipated into long-range statistics of the ciphertext. This is achieved by having each plaintext digit affect the value of many ciphertext digits; generally this is equivalent to having each ciphertext digit be affected by many plaintext digits. An example of diffusion is to encrypt a message M = m1, m2, m3,... of characters with an averaging operation:

adding k successive letters to get a ciphertext letter yn. One can show that the statistical structure of the plaintext has been dissipated. Thus, the letter frequencies in the ciphertext will be more nearly equal than in the plaintext; the digram frequencies will also be more nearly equal, and so on. In a binary block cipher, diffusion can be achieved by repeatedly performing some permutation on the data followed by applying a function to that permutation; the effect is that bits from different positions in the original plaintext contribute to a single bit of ciphertext.[3]
[3] Some books on cryptography equate permutation with diffusion. This is incorrect. Permutation, by itself, does not change the statistics of the plaintext at the level of individual letters or permuted blocks. For example, in DES, the permutation swaps two 32-bit blocks, so statistics of strings of 32 bits or less are preserved.
Every block cipher involves a transformation of a block of plaintext into a block of ciphertext, where the transformation depends on the key. The mechanism of diffusion seeks to make the statistical relationship between the plaintext and ciphertext as complex as possible in order to thwart attempts to deduce the key. On the other hand, confusion seeks to make the relationship between the statistics of the ciphertext and the value of the encryption key as complex as possible, again to thwart attempts to discover the key. Thus, even if the attacker can get some handle on the statistics of the ciphertext, the way in which the key was used to produce that ciphertext is so complex as to make it difficult to deduce the key. This is achieved by the use of a complex substitution algorithm. In contrast, a simple linear substitution function would add little confusion.
As [ROBS95b] points out, so successful are diffusion and confusion in capturing the essence of the desired attributes of a block cipher that they have become the cornerstone of modern block cipher design.
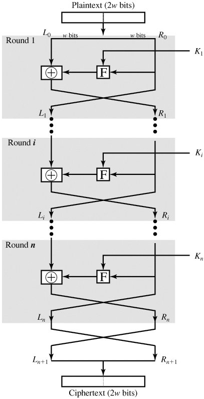
Figure 3.2 depicts the structure proposed by Feistel. The inputs to the encryption algorithm are a plaintext block of length 2w bits and a key K. The plaintext block is divided into two halves, L0 and R0. The two halves of the data pass through n rounds of processing and then combine to produce the ciphertext block. Each round i has as inputs Li-1 and Ri-1, derived from the previous round, as well as a subkey Ki, derived from the overall K. In general, the subkeys Ki are different from K and from each other.

All rounds have the same structure. A substitution is performed on the left half of the data. This is done by applying a round function F to the right half of the data and then taking the exclusive-OR of the output of that function and the left half of the data. The round function has the same general structure for each round but is parameterized by the round subkey Ki. Following this substitution, a permutation is performed that consists of the interchange of the two halves of the data.[4] This structure is a particular form of the substitution-permutation network (SPN) proposed by Shannon.
[4] The final round is followed by an interchange that undoes the interchange that is part of the final round. One could simply leave both interchanges out of the diagram, at the sacrifice of some consistency of presentation. In any case, the effective lack of a swap in the final round is done to simplify the implementation of the decryption process, as we shall see.
The exact realization of a Feistel network depends on the choice of the following parameters and design features:
Block size: Larger block sizes mean greater security (all other things being equal) but reduced encryption/decryption speed for a given algorithm. The greater security is achieved by greater diffusion Traditionally, a block size of 64 bits has been considered a reasonable tradeoff and was nearly universal in block cipher design. However, the new AES uses a 128-bit block size.
Key size: Larger key size means greater security but may decrease encryption/decryption speed. The greater security is achieved by greater resistance to brute-force attacks and greater confusion. Key sizes of 64 bits or less are now widely considered to be inadequate, and 128 bits has become a common size.
Number of rounds: The essence of the Feistel cipher is that a single round offers inadequate security but that multiple rounds offer increasing security. A typical size is 16 rounds.
Subkey generation algorithm: Greater complexity in this algorithm should lead to greater difficulty of cryptanalysis.
Round function: Again, greater complexity generally means greater resistance to cryptanalysis.
There are two other considerations in the design of a Feistel cipher:
Fast software encryption/decryption: In many cases, encryption is embedded in applications or utility functions in such a way as to preclude a hardware implementation. Accordingly, the speed of execution of the algorithm becomes a concern.
Ease of analysis: Although we would like to make our algorithm as difficult as possible to cryptanalyze, there is great benefit in making the algorithm easy to analyze. That is, if the algorithm can be concisely and clearly explained, it is easier to analyze that algorithm for cryptanalytic vulnerabilities and therefore develop a higher level of assurance as to its strength. DES, for example, does not have an easily analyzed functionality.
The process of decryption with a Feistel cipher is essentially the same as the encryption process. The rule is as follows: Use the ciphertext as input to the algorithm, but use the subkeys Ki in reverse order. That is, use Kn in the first round, Kn-1 in the second round, and so on until K1 is used in the last round. This is a nice feature because it means we need not implement two different algorithms, one for encryption and one for decryption.
To see that the same algorithm with a reversed key order produces the correct result, consider Figure 3.3, which shows the encryption process going down the left-hand side and the decryption process going up the right-hand side for a 16-round algorithm (the result would be the same for any number of rounds). For clarity, we use the notation LEi and REi for data traveling through the encryption algorithm and LDi and RDi for data traveling through the decryption algorithm. The diagram indicates that, at every round, the intermediate value of the decryption process is equal to the corresponding value of the encryption process with the two halves of the value swapped. To put this another way, let the output of the ith encryption round be LEi||REi (Li concatenated with Ri). Then the corresponding input to the (16 i)th decryption round is REi||LEi or, equivalently, RD16-i||LD16-i.

Let us walk through Figure 3.3 to demonstrate the validity of the preceding assertions.[5] After the last iteration of the encryption process, the two halves of the output are swapped, so that the ciphertext is RE16||LE16. The output of that round is the ciphertext. Now take that ciphertext and use it as input to the same algorithm. The input to the first round is RE16||LE16, which is equal to the 32-bit swap of the output of the sixteenth round of the encryption process.
[5] To simplify the diagram, it is untwisted, not showing the swap that occurs at the end of each iteration. But please note that the intermediate result at the end of the ith stage of the encryption process is the 2w-bit quantity formed by concatenating LEi and REi, and that the intermediate result at the end of the ith stage of the decryption process is the 2w-bit quantity formed by concatenating LDi and RDi.
Now we would like to show that the output of the first round of the decryption process is equal to a 32-bit swap of the input to the sixteenth round of the encryption process. First, consider the encryption process. We see that
LE16 = RE15
RE16 = LE15 x F(RE15, K16)
On the decryption side,
LD1 = RD0 = LE16 = RE15
RD1 = LD0 x F(RD0, K16)
= RE16 x F(RE15, K16)
= [LE15 x F(RE15, K16)] x F(RE15, K16)
The XOR has the following properties:
[A x B] x C = A x [B x C]
D x D = 0
E x 0 = E
Thus, we have LD1 = RE15 and RD1 = LE15. Therefore, the output of the first round of the decryption process is LE15||RE15, which is the 32-bit swap of the input to the sixteenth round of the encryption. This correspondence holds all the way through the 16 iterations, as is easily shown. We can cast this process in general terms. For the ith iteration of the encryption algorithm,
LEi = REi-1
REi =LEi-1 x F(REi-1, Ki)
Rearranging terms,
REi-1 = LEi
LEi-1 = REi x F(REi-1, Ki2 = REi x F(LEi, Ki)
Thus, we have described the inputs to the ith iteration as a function of the outputs, and these equations confirm the assignments shown in the right-hand side of Figure 3.3.
Finally, we see that the output of the last round of the decryption process is RE0||LE0. A 32-bit swap recovers the original plaintext, demonstrating the validity of the Feistel decryption process.
Note that the derivation does not require that F be a reversible function. To see this, take a limiting case in which F produces a constant output (e.g., all ones) regardless of the values of its two arguments. The equations still hold.