Section 14.2. X.509 Authentication Service


[Page 419 (continued)]

14.2. X.509 Authentication Service

ITU-T recommendation X.509 is part of the X.500 series of recommendations that define a directory service. The directory is, in effect, a server or distributed set of servers that maintains a database of information about users. The information includes a mapping from user name to network address, as well as other attributes and information about the users.

X.509 defines a framework for the provision of authentication services by the X.500 directory to its users. The directory may serve as a repository of public-key certificates of the type discussed in Chapter 9. Each certificate contains the public key of a user and is signed with the private key of a trusted certification authority. In addition, X.509 defines alternative authentication protocols based on the use of public-key certificates.

X.509 is an important standard because the certificate structure and authentication protocols defined in X.509 are used in a variety of contexts. For example, the X.509 certificate format is used in S/MIME (Chapter 15), IP Security (Chapter 16), and SSL/TLS and SET (Chapter 17).

X.509 was initially issued in 1988. The standard was subsequently revised to address some of the security concerns documented in [IANS90] and [MITC90]; a revised recommendation was issued in 1993. A third version was issued in 1995 and revised in 2000.

X.509 is based on the use of public-key cryptography and digital signatures. The standard does not dictate the use of a specific algorithm but recommends RSA. The digital signature scheme is assumed to require the use of a hash function. Again, the standard does not dictate a specific hash algorithm. The 1988 recommendation included the description of a recommended hash algorithm; this algorithm has since been shown to be insecure and was dropped from the 1993 recommendation. Figure 14.3 illustrates the generation of a public-key certificate.


[Page 420]

Figure 14.3. Public-Key Certificate Use


Certificates

The heart of the X.509 scheme is the public-key certificate associated with each user. These user certificates are assumed to be created by some trusted certification authority (CA) and placed in the directory by the CA or by the user. The directory server itself is not responsible for the creation of public keys or for the certification function; it merely provides an easily accessible location for users to obtain certificates.

Figure 14.4a shows the general format of a certificate, which includes the following elements:

  • Version: Differentiates among successive versions of the certificate format; the default is version 1. If the Issuer Unique Identifier or Subject Unique Identifier are present, the value must be version 2. If one or more extensions are present, the version must be version 3.

  • Serial number: An integer value, unique within the issuing CA, that is unambiguously associated with this certificate.

  • Signature algorithm identifier: The algorithm used to sign the certificate, together with any associated parameters. Because this information is repeated in the Signature field at the end of the certificate, this field has little, if any, utility.

  • Issuer name: X.500 name of the CA that created and signed this certificate.


  • [Page 421]
  • Period of validity: Consists of two dates: the first and last on which the certificate is valid.

  • Subject name: The name of the user to whom this certificate refers. That is, this certificate certifies the public key of the subject who holds the corresponding private key.

  • Subject's public-key information: The public key of the subject, plus an identifier of the algorithm for which this key is to be used, together with any associated parameters.

  • Issuer unique identifier: An optional bit string field used to identify uniquely the issuing CA in the event the X.500 name has been reused for different entities.

  • Subject unique identifier: An optional bit string field used to identify uniquely the subject in the event the X.500 name has been reused for different entities.

  • Extensions: A set of one or more extension fields. Extensions were added in version 3 and are discussed later in this section.

  • Signature: Covers all of the other fields of the certificate; it contains the hash code of the other fields, encrypted with the CA's private key. This field includes the signature algorithm identifier.

Figure 14.4. X.509 Formats


The unique identifier fields were added in version 2 to handle the possible reuse of subject and/or issuer names over time. These fields are rarely used.


[Page 422]

The standard uses the following notation to define a certificate:

CA<<A>> = CA {V, SN, AI, CA, TA, A, Ap}

where

Y <<X>>

= the certificate of user X issued by certification authority Y

Y {I}

= the signing of I by Y. It consists of I with an encrypted
hash code appended


The CA signs the certificate with its private key. If the corresponding public key is known to a user, then that user can verify that a certificate signed by the CA is valid. This is the typical digital signature approach illustrated in Figure 11.5c.

Obtaining a User's Certificate

User certificates generated by a CA have the following characteristics:

  • Any user with access to the public key of the CA can verify the user public key that was certified.

  • No party other than the certification authority can modify the certificate without this being detected.

Because certificates are unforgeable, they can be placed in a directory without the need for the directory to make special efforts to protect them.

If all users subscribe to the same CA, then there is a common trust of that CA. All user certificates can be placed in the directory for access by all users. In addition, a user can transmit his or her certificate directly to other users. In either case, once B is in possession of A's certificate, B has confidence that messages it encrypts with A's public key will be secure from eavesdropping and that messages signed with A's private key are unforgeable.

If there is a large community of users, it may not be practical for all users to subscribe to the same CA. Because it is the CA that signs certificates, each participating user must have a copy of the CA's own public key to verify signatures. This public key must be provided to each user in an absolutely secure (with respect to integrity and authenticity) way so that the user has confidence in the associated certificates. Thus, with many users, it may be more practical for there to be a number of CAs, each of which securely provides its public key to some fraction of the users.

Now suppose that A has obtained a certificate from certification authority X1 and B has obtained a certificate from CA X2. If A does not securely know the public key of X2, then B's certificate, issued by X2, is useless to A. A can read B's certificate, but A cannot verify the signature. However, if the two CAs have securely exchanged their own public keys, the following procedure will enable A to obtain B's public key:

  1. A obtains, from the directory, the certificate of X2 signed by X1. Because A securely knows X1's public key, A can obtain X2's public key from its certificate and verify it by means of X1's signature on the certificate.

  2. A then goes back to the directory and obtains the certificate of B signed by X2 Because A now has a trusted copy of X2's public key, A can verify the signature and securely obtain B's public key.


[Page 423]

A has used a chain of certificates to obtain B's public key. In the notation of X.509, this chain is expressed as

X1<<X2>> X2 <<B>>

In the same fashion, B can obtain A's public key with the reverse chain:

X2<<X1>> X1 <<A>>

This scheme need not be limited to a chain of two certificates. An arbitrarily long path of CAs can be followed to produce a chain. A chain with N elements would be expressed as

X1<<X2>> X2 <<X3>>... XN<<B>>

In this case, each pair of CAs in the chain (Xi, Xi+1) must have created certificates for each other.

All these certificates of CAs by CAs need to appear in the directory, and the user needs to know how they are linked to follow a path to another user's public-key certificate. X.509 suggests that CAs be arranged in a hierarchy so that navigation is straightforward.

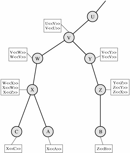
Figure 14.5, taken from X.509, is an example of such a hierarchy. The connected circles indicate the hierarchical relationship among the CAs; the associated boxes indicate certificates maintained in the directory for each CA entry. The directory entry for each CA includes two types of certificates:

  • Forward certificates: Certificates of X generated by other CAs

  • Reverse certificates: Certificates generated by X that are the certificates of other CAs

Figure 14.5. X.509 Hierarchy: A Hypothetical Example
(This item is displayed on page 424 in the print version)


In this example, user A can acquire the following certificates from the directory to establish a certification path to B:

X<<W>> W <<V>> V <<Y>> <<Z>> Z <<B>>

When A has obtained these certificates, it can unwrap the certification path in sequence to recover a trusted copy of B's public key. Using this public key, A can send encrypted messages to B. If A wishes to receive encrypted messages back from B, or to sign messages sent to B, then B will require A's public key, which can be obtained from the following certification path:

Z<<Y>> Y <<V>> V <<W>> W <<X>>X <<A>>

B can obtain this set of certificates from the directory, or A can provide them as part of its initial message to B.

Revocation of Certificates

Recall from Figure 14.4 that each certificate includes a period of validity, much like a credit card. Typically, a new certificate is issued just before the expiration of the old one. In addition, it may be desirable on occasion to revoke a certificate before it expires, for one of the following reasons:

  1. The user's private key is assumed to be compromised.

  2. The user is no longer certified by this CA.

  3. The CA's certificate is assumed to be compromised.


[Page 424]

Each CA must maintain a list consisting of all revoked but not expired certificates issued by that CA, including both those issued to users and to other CAs. These lists should also be posted on the directory.

Each certificate revocation list (CRL) posted to the directory is signed by the issuer and includes (Figure 14.4b) the issuer's name, the date the list was created, the date the next CRL is scheduled to be issued, and an entry for each revoked certificate. Each entry consists of the serial number of a certificate and revocation date for that certificate. Because serial numbers are unique within a CA, the serial number is sufficient to identify the certificate.

When a user receives a certificate in a message, the user must determine whether the certificate has been revoked. The user could check the directory each time a certificate is received. To avoid the delays (and possible costs) associated with directory searches, it is likely that the user would maintain a local cache of certificates and lists of revoked certificates.

Authentication Procedures

X.509 also includes three alternative authentication procedures that are intended for use across a variety of applications. All these procedures make use of public-key signatures. It is assumed that the two parties know each other's public key, either by obtaining each other's certificates from the directory or because the certificate is included in the initial message from each side.


[Page 425]

Figure 14.6 illustrates the three procedures.

Figure 14.6. X.509 Strong Authentication Procedures


One-Way Authentication

One way authentication involves a single transfer of information from one user (A) to another (B), and establishes the following:

  1. The identity of A and that the message was generated by A

  2. That the message was intended for B

  3. The integrity and originality (it has not been sent multiple times) of the message

Note that only the identity of the initiating entity is verified in this process, not that of the responding entity.

At a minimum, the message includes a timestamp tA, a nonce rA and the identity of B and is signed with A's private key. The timestamp consists of an optional generation time and an expiration time. This prevents delayed delivery of messages. The nonce can be used to detect replay attacks. The nonce value must be unique within the expiration time of the message. Thus, B can store the nonce until it expires and reject any new messages with the same nonce.


[Page 426]

For pure authentication, the message is used simply to present credentials to B. The message may also include information to be conveyed. This information, sgnData, is included within the scope of the signature, guaranteeing its authenticity and integrity. The message may also be used to convey a session key to B, encrypted with B's public key.

Two-Way Authentication

In addition to the three elements just listed, two-way authentication establishes the following elements:

  1. The identity of B and that the reply message was generated by B

  2. That the message was intended for A

  3. The integrity and originality of the reply

Two-way authentication thus permits both parties in a communication to verify the identity of the other.

The reply message includes the nonce from A, to validate the reply. It also includes a timestamp and nonce generated by B. As before, the message may include signed additional information and a session key encrypted with A's public key.

Three-Way Authentication

In three-way authentication, a final message from A to B is included, which contains a signed copy of the nonce rB. The intent of this design is that timestamps need not be checked: Because both nonces are echoed back by the other side, each side can check the returned nonce to detect replay attacks. This approach is needed when synchronized clocks are not available.

X.509 Version 3

The X.509 version 2 format does not convey all of the information that recent design and implementation experience has shown to be needed. [FORD95] lists the following requirements not satisfied by version 2:

  1. The Subject field is inadequate to convey the identity of a key owner to a public-key user. X.509 names may be relatively short and lacking in obvious identification details that may be needed by the user.

  2. The Subject field is also inadequate for many applications, which typically recognize entities by an Internet e-mail address, a URL, or some other Internet-related identification.

  3. There is a need to indicate security policy information. This enables a security application or function, such as IPSec, to relate an X.509 certificate to a given policy.

  4. There is a need to limit the damage that can result from a faulty or malicious CA by setting constraints on the applicability of a particular certificate.

  5. It is important to be able to identify different keys used by the same owner at different times. This feature supports key life cycle management, in particular the ability to update key pairs for users and CAs on a regular basis or under exceptional circumstances.


[Page 427]

Rather than continue to add fields to a fixed format, standards developers felt that a more flexible approach was needed. Thus, version 3 includes a number of optional extensions that may be added to the version 2 format. Each extension consists of an extension identifier, a criticality indicator, and an extension value. The criticality indicator indicates whether an extension can be safely ignored. If the indicator has a value of TRUE and an implementation does not recognize the extension, it must treat the certificate as invalid.

The certificate extensions fall into three main categories: key and policy information, subject and issuer attributes, and certification path constraints.

Key and Policy Information

These extensions convey additional information about the subject and issuer keys, plus indicators of certificate policy. A certificate policy is a named set of rules that indicates the applicability of a certificate to a particular community and/or class of application with common security requirements. For example, a policy might be applicable to the authentication of electronic data interchange (EDI) transactions for the trading of goods within a given price range.

This area includes the following:

  • Authority key identifier: Identifies the public key to be used to verify the signature on this certificate or CRL. Enables distinct keys of the same CA to be differentiated. One use of this field is to handle CA key pair updating.

  • Subject key identifier: Identifies the public key being certified. Useful for subject key pair updating. Also, a subject may have multiple key pairs and, correspondingly, different certificates for different purposes (e.g., digital signature and encryption key agreement).

  • Key usage: Indicates a restriction imposed as to the purposes for which, and the policies under which, the certified public key may be used. May indicate one or more of the following: digital signature, nonrepudiation, key encryption, data encryption, key agreement, CA signature verification on certificates, CA signature verification on CRLs.

  • Private-key usage period: Indicates the period of use of the private key corresponding to the public key. Typically, the private key is used over a different period from the validity of the public key. For example, with digital signature keys, the usage period for the signing private key is typically shorter than that for the verifying public key.

  • Certificate policies: Certificates may be used in environments where multiple policies apply. This extension lists policies that the certificate is recognized as supporting, together with optional qualifier information.

  • Policy mappings: Used only in certificates for CAs issued by other CAs. Policy mappings allow an issuing CA to indicate that one or more of that issuer's policies can be considered equivalent to another policy used in the subject CA's domain.

Certificate Subject and Issuer Attributes

These extensions support alternative names, in alternative formats, for a certificate subject or certificate issuer and can convey additional information about the certificate subject, to increase a certificate user's confidence that the certificate subject is a particular person or entity. For example, information such as postal address, position within a corporation, or picture image may be required.


[Page 428]

The extension fields in this area include the following:

  • Subject alternative name: Contains one or more alternative names, using any of a variety of forms. This field is important for supporting certain applications, such as electronic mail, EDI, and IPSec, which may employ their own name forms.

  • Issuer alternative name: Contains one or more alternative names, using any of a variety of forms.

  • Subject directory attributes: Conveys any desired X.500 directory attribute values for the subject of this certificate.

Certification Path Constraints

These extensions allow constraint specifications to be included in certificates issued for CAs by other CAs. The constraints may restrict the types of certificates that can be issued by the subject CA or that may occur subsequently in a certification chain.

The extension fields in this area include the following:

  • Basic constraints: Indicates if the subject may act as a CA. If so, a certification path length constraint may be specified.

  • Name constraints: Indicates a name space within which all subject names in subsequent certificates in a certification path must be located.

  • Policy constraints: Specifies constraints that may require explicit certificate policy identification or inhibit policy mapping for the remainder of the certification path.




Cryptography and Network Security Principles and Practices
Cryptography and Network Security (4th Edition)
ISBN: 0131873164
EAN: 2147483647
Year: 2005
Pages: 209

flylib.com © 2008-2017.
If you may any questions please contact us: flylib@qtcs.net